Lückentext
Lückentext:
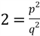
ist keine rationale Zahl
Annahme: |
S |
Also gilt: |
D |
wobei |
I |
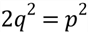
Nach ____________ der Gleichung gilt: |
K |
Nach ____________ mit 2 gilt: |
T |
Also ist |
C |
und damit auch __ gerade. |
E |
Somit kann man schreiben: |
F |
Einsetzen ergibt: |
R |
Durch __ dividieren ergibt: |
E |
Also ist __ gerade |
P |
und damit auch __ gerade. |
E |
Widerspruch: p und q ______, |
R |
also |
A |
Also Annahme _______, __________ richtig: |
E |
|
W |
Artikel: Herunterladen [pdf][1 MB]
Weiter zu Quadratzahlen
ist eine ___________ Zahl.
,
vollständig __________ ist. 

gerade 

